• Skip to content
  • Skip to navigation
Global site
Grant Thornton Philippines - Home
  • Services

    • Audit & Assurance

      • Audit & Assurance
      • Annual and short period audit
      • Review engagement
      • Financial statements compilation
      • Security offerings services
      • Agreed-upon procedures
      • Other related services
    • Tax Advisory & Compliance

      • Tax Advisory & Compliance
      • Tax advisory
      • Tax compliance
      • Transfer pricing
      • Corporate services
      • Tax education and advocacy
    • Advisory Services

      • Advisory Services
      • Business risk services
      • Business consulting services
      • Transaction services
      • Forensic advisory
      • ProActive Hotline
      • Sustainability
      • P&A Academy
    • Business Process Solutions

      • Business Process Solutions
      • Accounting Services
      • Payroll Services
      • Human Capital Outsourcing Services
    • Japan Desk

  • Insights
  • About us
  • Events
  • Careers

    • Why Grant Thornton is a great place to work

      • Why Grant Thornton is a great place to work
      • Our values
      • Global culture
      • Learning & development
      • Global talent mobility
      • Diversity
      • In the community
      • Behind the Numbers: People of P&A Grant Thornton
    • Opportunities

      • Opportunities
      • Fresh Graduates
      • Students
      • Experienced hires
    • FAQs

  • Industries

    • Consumer products
    • Education
    • Energy and natural resources
    • Financial services
    • Not for profit
    • Outsourcing
    • Public sector
    • Real estate and construction
    • Technology, media and communications
    • Travel, tourism and leisure
    • Retail industry

Search dialog

Global site
Contact us
  1. Home
  2. Alerts and Publications
  3. Technical Alerts
  4. Tax Alerts
  5. 2024
  6. Deadline for the Submission of BIR Form 2316 to BIR extended to March 31, 2024

Tax Alert

28 Feb 2024

Tax Alerts

  • 2024
  • 2023
  • 2022
  • 2021
  • 2020
  • 2019
  • 2018
  • 2017
  • 2012
  • 2013
  • 2014
  • 2016
  • 2015

Deadline for the Submission of BIR Form 2316 to BIR extended to March 31, 2024

This Tax Alert is issued to inform all concerned on the extension of deadline for the submission of BIR Form 2316 or the Certificate of Compensation Payment/Tax Withheld to BIR from February 28, 2024 to March 31, 2024.

Accordingly, for purposes of uniformity in the submission of other reportorial requirements in relation to the submission of BIR Form 2316, only the following documents shall be required by all RDO:

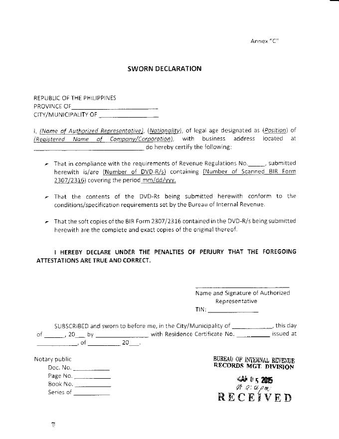
  1. Sworn Declaration (Annex “C”) under RR No. 2-2015; and
  2. Certification of the List of Employees Qualified for Substituted Filing of their Income Tax Return (Annex “F”) under RR No. 11-2018.

The submission of BIR Form 2316 without the employee’s signature shall no longer be acceptable, especially for those who are availing the substituted filing.

In case the taxpayers have already submitted BIR Form 2316 to BIR using the 2018 version, they are no longer required to re-submit using the 2021 version provided that the 2023 income tax rates were used in the computation.

.

RR 2-2015 Annex C

Download PDF [31 kb]
rich text with download pdf
Download PDF [31 kb]
Download PDF [31 kb]

.

Annex F RR 11-2018

application/vnd.openxmlformats-officedocument.wordprocessingml.document [37 kb]
rich text with download pdf
Annex F RR 11-2018.docx [37 kb]
application/vnd.openxmlformats-officedocument.wordprocessingml.document [37 kb]

CONNECT CONNECT

  • Meet Our People
  • Contact us
  • Locations

ABOUT ABOUT

  • Careers
  • News Centre
  • ProActive Hotline

LEGAL LEGAL

  • Privacy
  • Cookie policy
  • Disclaimer
  • Site map
  • Cookie Preferences

Our Core Services Our Core Services

  • Audit and Assurance
  • Tax Advisory and Compliance
  • Advisory Services
  • Outsourcing and Managed Services
  • Japan Desk

Follow usFollow us

‘Grant Thornton’ refers to the brand under which the Grant Thornton member firms provide services to their clients and/or refers to one or more member firms, as the context requires. ‘GTIL’ refers to Grant Thornton International Ltd (GTIL). P&A Grant Thornton is a member firm of GTIL. GTIL and each member firm of GTIL is a separate legal entity. GTIL is a nonpracticing, international coordinating entity organised as a private company limited by guarantee incorporated in England and Wales. GTIL does not deliver services in its own name or at all. Services are delivered by the member firms. GTIL and its member firms are not agents of, and do not obligate, one another and are not liable for one another’s acts or omissions. The name ‘Grant Thornton’, the Grant Thornton logo, including the Mobius symbol/ device are trademarks of GTIL. All copyright is owned by GTIL, including the copyright in the Grant Thornton logo; all rights are reserved.