• Skip to content
  • Skip to navigation
Global site
Grant Thornton Philippines - Home
  • Services

    • Audit & Assurance

      • Audit & Assurance
      • Annual and short period audit
      • Review engagement
      • Financial statements compilation
      • Security offerings services
      • Agreed-upon procedures
      • Other related services
    • Tax Advisory & Compliance

      • Tax Advisory & Compliance
      • Tax advisory
      • Tax compliance
      • Transfer pricing
      • Corporate services
      • Tax education and advocacy
    • Advisory Services

      • Advisory Services
      • Business risk services
      • Business consulting services
      • Transaction services
      • Forensic advisory
      • ProActive Hotline
      • Sustainability
      • P&A Academy
    • Business Process Solutions

      • Business Process Solutions
      • Accounting Services
      • Payroll Services
      • Human Capital Outsourcing Services
    • Japan Desk

  • Insights
  • About us
  • Events
  • Careers

    • Why Grant Thornton is a great place to work

      • Why Grant Thornton is a great place to work
      • Our values
      • Global culture
      • Learning & development
      • Global talent mobility
      • Diversity
      • In the community
      • Behind the Numbers: People of P&A Grant Thornton
    • Opportunities

      • Opportunities
      • Fresh Graduates
      • Students
      • Experienced hires
    • FAQs

  • Industries

    • Consumer products
    • Education
    • Energy and natural resources
    • Financial services
    • Not for profit
    • Outsourcing
    • Public sector
    • Real estate and construction
    • Technology, media and communications
    • Travel, tourism and leisure
    • Retail industry

Search dialog

Global site
Contact us
  1. Home
  2. Alerts and Publications
  3. Technical Alerts
  4. Tax Alerts
  5. 2020
  6. Rules on the acceptance of tax payments until June 14, 2020

Tax Alert

11 Jun 2020

Tax Alerts

  • 2024
  • 2023
  • 2022
  • 2021
  • 2020
  • 2019
  • 2018
  • 2017
  • 2012
  • 2013
  • 2014
  • 2016
  • 2015

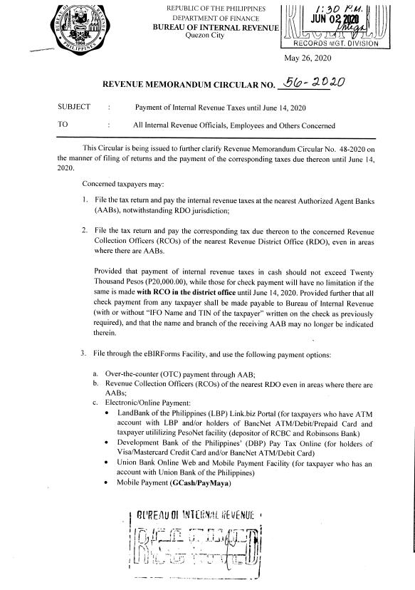
Rules on the acceptance of tax payments until June 14, 2020

(Revenue Memorandum Circular No. 56-2020, June 11, 2020) 

This Tax Alert is issued to inform all concerned on the rules in acceptance of payments of internal revenue taxes until June 14, 2020. 

eFPS Taxpayers shall continue to file through the system and settle tax liabilities with the AABs where they are enrolled. 

Taxpayers not mandated to file and pay electronically may use the eBIRForms facility or to file their tax returns manually. Filing of no payment returns shall be made through eBlRForms facility. In case of unavailability of internet connection to electronically file such returns or unavailability of the Bureau’s electronic filing facilities, taxpayers shall manually file the returns to the nearest RDO. 

During this period until June 14, 2020, taxpayers may: 

  • Pay internal revenue taxes at the nearest Authorized Agent Banks (AABs) regardless of Revenue District Office (RDO) jurisdiction. 
  • File the return and pay the corresponding tax to the Revenue Collection Officer (RCO) of the nearest RDO, even in areas where there are AABs.  
  • Pay the tax in cash not exceeding P20,000. 
  • Pay with checks without limit in amount. Check payment will be accepted even without the name and branch of the receiving AAB indicated in the check as long as the check is made payable to the Bureau of Internal Revenue, with or without “IFO Name and TIN of the taxpayer” written in the check.  
  • Pay through checks or combination of cash and check/s or combination of two or more checks in the payment of single tax liability/return. 

.

RMC No. 56-2020

Download PDF [230 kb]
rich text with download pdf
Download PDF [230 kb]
Download PDF [230 kb]

CONNECT CONNECT

  • Meet Our People
  • Contact us
  • Locations

ABOUT ABOUT

  • Careers
  • News Centre
  • ProActive Hotline

LEGAL LEGAL

  • Privacy
  • Cookie policy
  • Disclaimer
  • Site map
  • Cookie Preferences

Our Core Services Our Core Services

  • Audit and Assurance
  • Tax Advisory and Compliance
  • Advisory Services
  • Outsourcing and Managed Services
  • Japan Desk

Follow usFollow us

‘Grant Thornton’ refers to the brand under which the Grant Thornton member firms provide services to their clients and/or refers to one or more member firms, as the context requires. ‘GTIL’ refers to Grant Thornton International Ltd (GTIL). P&A Grant Thornton is a member firm of GTIL. GTIL and each member firm of GTIL is a separate legal entity. GTIL is a nonpracticing, international coordinating entity organised as a private company limited by guarantee incorporated in England and Wales. GTIL does not deliver services in its own name or at all. Services are delivered by the member firms. GTIL and its member firms are not agents of, and do not obligate, one another and are not liable for one another’s acts or omissions. The name ‘Grant Thornton’, the Grant Thornton logo, including the Mobius symbol/ device are trademarks of GTIL. All copyright is owned by GTIL, including the copyright in the Grant Thornton logo; all rights are reserved.