• Skip to content
  • Skip to navigation
Global site
Grant Thornton logo
  • Services

    • Audit & Assurance

      • Audit & Assurance
      • Annual and short period audit
      • Review engagement
      • Financial statements compilation
      • Security offerings services
      • Agreed-upon procedures
      • Other related services
    • Tax Advisory & Compliance

      • Tax Advisory & Compliance
      • Tax advisory
      • Tax compliance
      • Transfer pricing
      • Corporate services
      • Tax education and advocacy
    • Advisory Services

      • Advisory Services
      • Business risk services
      • Business consulting services
      • Transaction services
      • Forensic advisory
      • ProActive Hotline
      • Sustainability
      • P&A Academy
    • Business Process Solutions

      • Business Process Solutions
      • Accounting Services
      • Payroll Services
      • Human Capital Outsourcing Services
    • Japan Desk

  • Insights
  • About us
  • Events
  • Careers

    • Why Grant Thornton is a great place to work

      • Why Grant Thornton is a great place to work
      • Our values
      • Global culture
      • Learning & development
      • Global talent mobility
      • Diversity
      • In the community
      • Behind the Numbers: People of P&A Grant Thornton
    • Opportunities

      • Opportunities
      • Fresh Graduates
      • Students
      • Experienced hires
    • FAQs

  • Industries

    • Consumer products
    • Education
    • Energy and natural resources
    • Financial services
    • Not for profit
    • Outsourcing
    • Public sector
    • Real estate and construction
    • Technology, media and communications
    • Travel, tourism and leisure
    • Retail industry
Global site
Contact us
  1. Home
  2. Alerts and Publications
  3. Technical Alerts
  4. Tax Alerts
  5. 2012
  6. Tax rules on transactions with media suppliers

Tax Alerts

07 Nov 2012

Tax Alerts

  • 2024
  • 2023
  • 2022
  • 2021
  • 2020
  • 2019
  • 2018
  • 2017
  • 2012
  • 2013
  • 2014
  • 2016
  • 2015

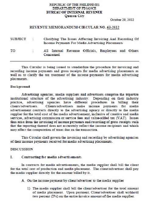
Tax rules on transactions with media suppliers

The following procedures should be observed in the invoicing and recording of income payments and gross receipts  from  media advertising placement involving the advertising agencies, media suppliers and advertisers.

  a. Payments to the media supplier for advertising placement – The media supplier shall bill the advertiser for the total cost of media placement. The advertiser shall directly pay the media supplier the amount billed minus the 2% creditable withholding tax, and issue the Certificate of Creditable Tax Withheld as Source (BIR form 2307) in the name of the media supplier.  The media supplier, on the other hand, shall issue a VAT official receipt for the full amount and report the same for income tax purposes.

  b. Commission/service fee of advertising agency from media suppliers - The advertising agency shall bill the media supplier for its commission/service fee. Upon payment, the media supplier shall withhold the 2% creditable withholding tax from the commission/service fee, and issue the Certificate of Creditable Tax Withheld as Source (BIR form 2307) in the name of the advertising agency.  The advertising agency, on the other hand, shall issue a VAT official receipt indicating the 12% VAT on the said commission/service fee.

Illustrative accounting entries in the books of accounts of the advertisers, media entity and advertising agency are provided in RMC 63-2012.

Please see attached copy of RMC 63-2012 below. 

 

.

RMC 63 2012

Download PDF [31 kb]
rich text with download pdf
Download PDF [31 kb]
Download PDF [31 kb]
Share this page
  • Facebook
  • LinkedIn
  • Email

CONNECT CONNECT

  • Meet Our People
  • Contact us
  • Locations

ABOUT ABOUT

  • Careers
  • News Centre
  • ProActive Hotline

LEGAL LEGAL

  • Privacy
  • Cookie policy
  • Disclaimer
  • Site map
  • Cookie Preferences

Our Core Services Our Core Services

  • Audit and Assurance
  • Tax Advisory and Compliance
  • Advisory Services
  • Outsourcing and Managed Services
  • Japan Desk

Follow usFollow us

‘Grant Thornton’ refers to the brand under which the Grant Thornton member firms provide services to their clients and/or refers to one or more member firms, as the context requires. ‘GTIL’ refers to Grant Thornton International Ltd (GTIL). P&A Grant Thornton is a member firm of GTIL. GTIL and each member firm of GTIL is a separate legal entity. GTIL is a nonpracticing, international coordinating entity organised as a private company limited by guarantee incorporated in England and Wales. GTIL does not deliver services in its own name or at all. Services are delivered by the member firms. GTIL and its member firms are not agents of, and do not obligate, one another and are not liable for one another’s acts or omissions. The name ‘Grant Thornton’, the Grant Thornton logo, including the Mobius symbol/ device are trademarks of GTIL. All copyright is owned by GTIL, including the copyright in the Grant Thornton logo; all rights are reserved.